

Figure 1. Mach number contours for the weak shock
case of the Sajben transonic diffuser.
This study is a validation study that examines the application of WIND for simulating transonic flow through a diffuser. This study also examines differences between the choice of turbulence model and changes in the solution between versions 3, 4, and 5 of WIND.
The grid is the same as used for Study #1. It consists of a single, planar zone with grid dimensions of 81 x 51. The I1 surface is the inflow and the IMAX surface is the outflow. The J1 surface is the bottom of the diffuser and the JMAX surface is the top of the diffuser and is the only surface that is not flat. The planar grid has a z-dimension of 1.7322 inches. The grid spacing at the wall is approximately 2.0E-04 inches. This wall spacing results in turbulent boundary layers being resolved to a y+ of approximately 2. The grid is contained in the the common grid file run.cgd.
The I1 boundary is specified with an ARBITRARY INFLOW boundary condition with inflow conditions specified as those of the freestream keyword. The IMAX boundary is specified with an OUTFLOW boundary condition. The J1 and JMAX boundaries are specified as VISCOUS WALL boundary conditions. The boundary conditions are set within the common grid file run.cgd by using GMAN.
The computation is performed using the time-marching capabilities of WIND to march to a steady-state (time asymptotic) solution starting from an initial solution. Local time stepping is used at each iteration to enhance iterative convergence. The flow is assumed to be fully turbulent. Iterative convergence is checked by examining the average mass flow through the duct, total pressure recovery and average Mach number at the exit, and the velocity profile at the 11-inch station.
The initial flow conditions, which correspond to the inflow conditions, are presented in Table 1.
| Mach | Static Pressure (psia) | Static Temperature (R) | Angle-of-Attack (deg) | Angle-of-Sideslip (deg) |
|---|---|---|---|---|
| 0.46 | 16.937 | 504.26 | 0.0 | 0.0 |
Four runs were performed corresponding to different versions of WIND and different turbulence models. The runs are described in Table 2. The input data files used in the runs are also listed.
The first three lines of each input data file describe the flow problem. The freestream keyword indicates that the static freestream flow conditions are specified as Mach number, pressure (psia), temperature (R), angle-of-attack (degrees), and angle-of-sideslip (degrees). The turbulence model keyword indicates that either the Spalart-Allmaras or SST turbulence model is to be used. The implicit boundary keyword indicates that implicit boundary conditions are used at the viscous wall boundaries. The dq limiter keyword indicates that changes in density and temperature over an iteration are limited to 50% of the current value at each solution point. The downstream pressure keyword indicates the static pressure that is imposed on the outflow boundary. The cfl keyword indicates that a CFL number of 1.5 was used. By default, WIND uses local maximum allowable time-step based on the specified CFL number. The cycles keyword indicates that number of cycles run. The iterations per cycle keyword indicates that 100 iterations will be run per cycle and that convergence information will be written to the output list file every 10 iterations.
| Run | WIND Version | Turbulence Model | Input Data File |
|---|---|---|---|
| 3sa | 3.0.81.1 | Spalart-Allmaras | run.3sa.dat |
| 4sa | 4.136 | Spalart-Allmaras | run.4sa.dat |
| 5sa | 5.182 | Spalart-Allmaras | run.5sa.dat |
| 5sst | 5.182 | Menter SST | run.5sst.dat |
The WIND solver is run on a single processor on a UNIX computer by entering the command:
wind -runinplace -dat run
The names of the output list file and the solution file for each run are listed in Table 3.
| Run | Output List File | Solution File |
|---|---|---|
| 3sa | run.3sa.lis | run.3sa.cfl |
| 4sa | run.4sa.lis | run.4sa.cfl |
| 5sa | run.5sa.lis | run.5sa.cfl |
| 5sst | run.5sst.lis | run.5sst.cfl |
Iterative convergence is examined in the following manner:
Residual of the Navier-Stokes Equations. The L2 norm of the residual of the Navier-Stokes equations can be read from the output list file. The residuals are read and plotted in the following procedures,
resplt < resplt.nsl2.com
cfpost < cfpost.nsl2.com
The GENPLOT formatted plot data file named nsl2.gen is created. Figure 4 shows the solution residual of Run 5sa that is displayed by CFPOST.

Figure 2. Plot of the L2 norm of Navier-Stokes residuals for
Run 5sa.
Residual of the Spalart-Allmaras Turbulence Model Equation. . The L2 norm of the residual of the governing equation used in the Spalart-Allmaras turbulence model can be read from the output list file. The RESPLT utility is used in the form:
resplt < resplt.sal2.com
The file resplt.sal2.com is a command file containing the inputs for RESPLT to output the GENPLOT formatted plot data file named sal2.gen of the residual as a function of the number of iterations. This file can be plotted using CFPOST,
cfpost < cfpost.sal2.com
where the file cfpost.sal2.com is a command file containing the inputs for CFPOST. Figure 5 shows the solution residual of Run 5sa that is displayed by CFPOST.

Figure 3. Plot of the L2 norm of the Spalart-Allmaras
turbulence equation residuals for Run 5sa.
Diffuser Mass Flow. Mass conservation should be conserved through the diffuser and adherence to this can be a check for iterative convergence. Table 4 lists the average mass flow through the diffuser with respect to the number of cycles completed. As Table 4 indicates, the variations of the mass flow are in the fifth decimal place, which indicates good iterative convergence. The distribution of mass through the diffuser is obtained using CFPOST,
cfpost < cfpost.mflux.com
| Cycle | Mass Flow (slug/sec) | Recovery | Mach Number |
|---|---|---|---|
| 100 | 4.1896567E-02 | 0.95202 | 0.45610 |
| 120 | 4.1896239E-02 | 0.95199 | 0.45609 |
| 140 | 4.1896842E-02 | 0.95198 | 0.45608 |
Diffuser Exit Recovery and Average Mach. Another measure of iterative convergence is to monitor the total pressure recovery at the exit (ratio of the average total pressure at the exit to the total pressure of the inflow conditions) and the average Mach number at the exit with respect to the number of cycles completed. These values are presented in Table 4. As Table 4 indicates, the variations are very small. These values are obtained using CFPOST,
cfpost < cfpost.exit.com
Velocity Profiles. The velocity profile of the boundary layer should converge to a steady distribution. For runs 5sa and 5sst the velocity profiles at a station of x = 11.0 inches were examined and found to not vary significantly as iterative convergence was obtained.
The CFPOST utility can be used to generate information from the the data files.
PLOT3D Grid and Solution Files. The PLOT3D grid and solution files can be obtained for use in commercial visualization software (i.e. Fieldview, Ensight, Tecplot) using the commands:
cfpost < cfpost.plot3d.com
The PLOT3D grid and solution files are named run.x and run.q, respectively. They are unformatted, whole, 3D, and multi-zone.
Mach Number Contour Plots. The CFPOST utility can be used to generate and plot Mach number contours of the planar flow,
cfpost < cfpost.mach.com
Figure 1 shows the contour plot for Run 5sa.
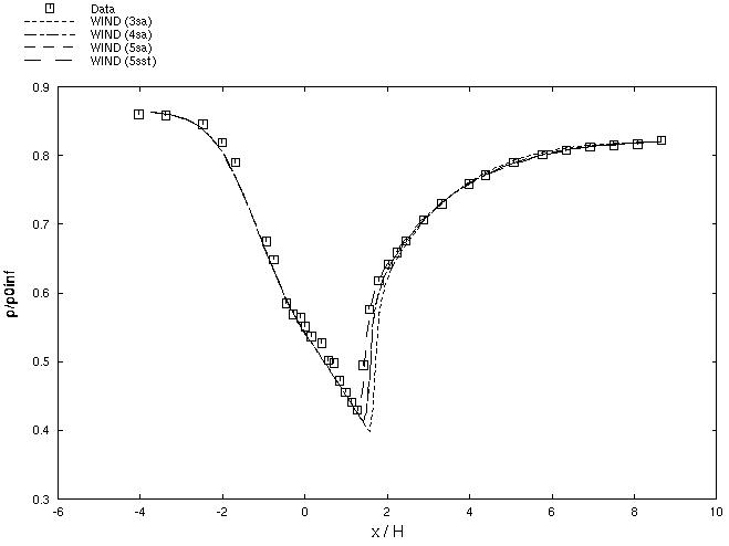
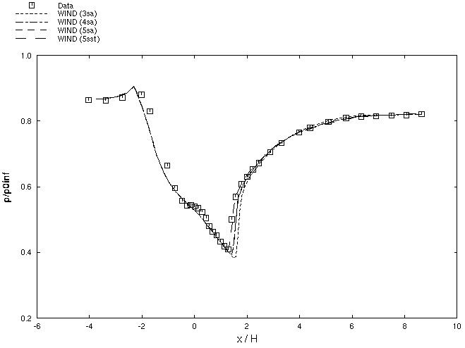
Static Pressure Distributions. The distribution of the static pressures on the top and bottom of the diffusers can be obtained using CFPOST,
cfpost < cfpost.p.top.com
cfpost < cfpost.p.bot.com
These operations create the GENPLOT files of the static pressure distributions.
| Run | Pressures (Top) | Pressures (Bottom) |
|---|---|---|
| 3sa | p.bot.3sa.gen | p.top.3sa.gen |
| 4sa | p.bot.4sa.gen | p.top.4sa.gen |
| 5sa | p.bot.5sa.gen | p.top.5sa.gen |
| 5sst | p.bot.5sst.gen | p.top.5sst.gen |

Figure 4. Static pressure distribution along the bottom
of the diffuser.

Figure 5. Static pressure distribution along the top
of the diffuser.
Velocity Profiles. The velocity profiles at axial stations along the diffuser can be compared to experimental data using CFPOST,
cfpost < cfpost.u.3in.com
cfpost < cfpost.u.5in.com
cfpost < cfpost.u.8in.com
cfpost < cfpost.u.11in.com
These operations create the GENPLOT files of the velocity distributions in the vertical direction at axial stations at x-coordinates of 3.0 in, 5.0 in, 8.0 in, and 11.0 in. Table 6 lists the GENPLOT files for each run and station. An analysis of the boundary layer profiles indicate that the y+ values for the first grid point off the wall were less than 2.0.
| Run | x = 3 in | x = 5 in | x = 8 in | x = 11 in |
|---|---|---|---|---|
| 3sa | u.03in.3sa.gen | u.05in.3sa.gen | u.08in.3sa.gen | u.11in.3sa.gen |
| 4sa | u.03in.4sa.gen | u.05in.4sa.gen | u.08in.4sa.gen | u.11in.4sa.gen |
| 5sa | u.03in.5sa.gen | u.05in.5sa.gen | u.08in.5sa.gen | u.11in.5sa.gen |
| 5sst | u.03in.5sst.gen | u.05in.5sst.gen | u.08in.5sst.gen | u.11in.5sst.gen |

Figure 6. Plot of the u-velocity profile at
x = 3.0 inches.

Figure 7. Plot of the u-velocity profile at
x = 5.0 inches.

Figure 8. Plot of the u-velocity profile at
x = 8.0 inches.

Figure 9. Plot of the u-velocity profile at
x = 11.0 inches.
Static Pressure Distributions. Figures 4 and 5 showed the static pressure distributions along the bottom and top of the diffuser and they indicate generally good aggreement with the experimental data. The distributions for runs 4sa and 5sa are identical. The modifications of the Spalart-Allmaras turbulence model between WIND 3 and WIND 4 improved the comparisons. The distribution of run 5sst using the Menter SST turbulence model slightly improved the comparison.
Velocity Profiles. Figures 6 through 9 show the comparison of the u-velocity profiles at the axial stations. The profiles for runs 4sa and 5sa are identical. The Spalart-Allmaras modifications improved the comparisons. Generally there is litle difference between the Spalart-Allmaras and SST models.
This study was last updated on October 31, 2002 by John W. Slater, who may be contacted at:
NASA John H. Glenn Research Center, MS 86-7
21000 Brookpark Road
Brook Park, Ohio 44135
Phone: (216) 433-8513
e-mail: John.W.Slater@grc.nasa.gov